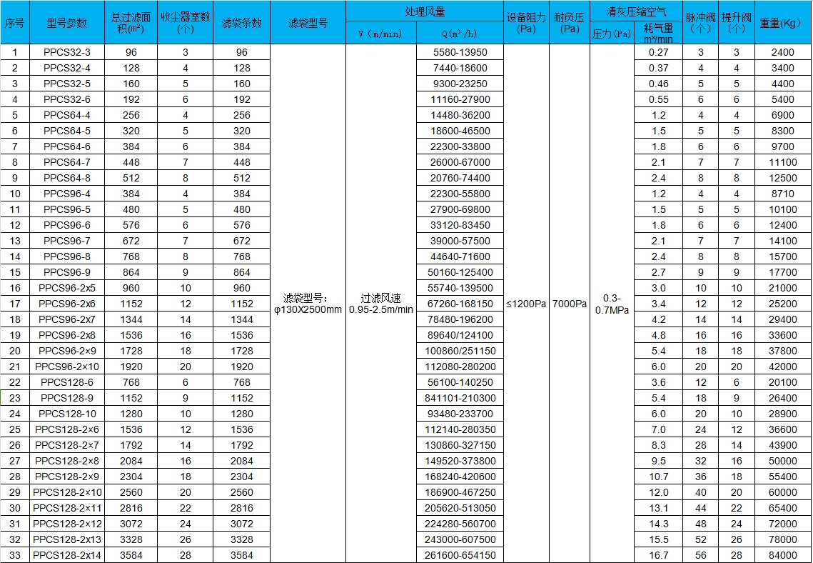
TS-PPCS气箱式布袋除尘设备系列
工作原理
含尘气体由进气烟道经装有进口问的进气口、经导流系统的布国、进入过滤空间、含尘气体在通过布袋时,粉尘滞留在布袋外面,过滤后的干净气体从布袋内部经上箱体和提升阀,由出口烟道经引风机排入烟囱,最终进入脱硫塔或是排入大气。
随着过滤的进行,布袋外表面粉尘不断加厚,使布袋内外差不断增加,常达到预先设定的参数值时PLC自动控制系统发出信号,进行离线或在线清灰,此时脉冲阀开启,布袋外表面的粉尘在喷吹气流作用下脱离布袋,落入灰斗,灰斗的粉尘经输灰系统排出。
整个过滤系统由PLC控制仪控制,该系统可以采取自动、定时、定压或手动来控制。
用途
广泛应用于电力、钢铁、建材、窑炉、化工等需要虚理风量大、温度高、工况条件差的行业中,根布袋的选型可运用于各种复杂工况,
